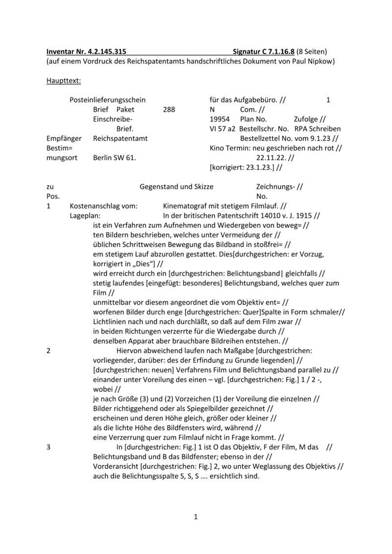
Manuskript, Patentanmeldung N 19954 VI / 57a² (DRP 388005) "Aufnehmen und Wiedergeben bewegter Bilder mit stetiglaufendem Bildband"
Arbeitsmappe Nr. 15: DRP 388005 (N 19954 VI / 57a²) "Aufnehmen und Wiedergeben bewegter Bilder mit stetiglaufendem Bildband" (Fernkinomatograph), Dokument Nr. 8, 1 Heft zu 8 Seiten
Datierung
23.01.1923
Datierung Original
22.11.1922
Verfasser
Paul Nipkow (1860 - 1940)
Herstellungsort
Berlin, Deutschland
Material
Papier; Stift/Faserschreiber; Stift/Tinte; Stifte/Bleistift; Stifte/Buntstift
Technik
beschriftet; handschriftlich
Blattmaß (b x h)
246 x 351 mm
Systematik
Archivalien/Archiv MK Frankfurt/C - Nachlässe/C 7 Nachlass Nipkow/C 7.1 Arbeitsmappen Nipkow/Mappe 15
Aufkleber
"8" (Vorderseite 1. Blatt)
Objektart
Original
Inventar-Nr.
4.2.145.315
Schlagworte
Nipkow-Kinematograph
Zitiervorschlag
Manuskript, Patentanmeldung N 19954 VI / 57a² (DRP 388005) "Aufnehmen und Wiedergeben bewegter Bilder mit stetiglaufendem Bildband", 23.01.1923; Museumsstiftung Post und Telekommunikation, Inventarnummer: 4.2.145.315,
URL: https://onlinesammlung.museumsstiftung.de/detail/collection/38919152-5c53-4f8d-b163-e0617643559a (zuletzt aktualisiert: 29.3.2026)